👍 추천 글
📈 인기 글
작성 : 2023.04.13~2023-04-17수정: 2024-02-05picrust2 visualization 들어가기에 앞서오늘은 올해 따끈따끈하게 출시된(무려 2023년 4월 8일) ggpicrust2 패키지를 소개합니다. ggpicrust2는 마이크바이옴의 기능 예측 도구인 picrust2의 결과물을 통계적으로 분석하고 시각화하는 데에 사용합니다.  > 분석 환경  - biom과 picrust 설치 필요.   - 추가적으로 분석은 R환경 (최신 버전) > 예제 데이터: QIIME2 예제인 moving-picture   -  이는 사람의 혀, 장, 양 손바닥의 마이크로바이옴 데이터를 담고 있다. 이 중에서 혀와 장의 마이크로바이옴에 해당하는 기능예측 유전자를 비교해 본다.  ggpicrust2- ..
· 자기소개
🎉안녕하세요 저는 생명과학 전공자로 석사과정(현재는 박사 중)에서 컴퓨터 분야에 첫 발을 내디뎠습니다. 현재는 바이오인포메틱 전반과 마이크로 바이옴 데이터 분석에 대해 공부하고 있습니다.메인 언어는 R이며, 간단한 마이크로바이옴 분석 및 시각화 패키지를 제작하고 있습니다. 이 과정에서 데이터의 시각화와 R을 이용한 웹 앱 개발에도 관심을 가지고 있습니다. 저의 최종적인 목표는 데이터 분석도 잘하고 개발도 잘하는 bio data engineer& developer입니다.(사실 연구보다 개발이 더 재밌습니다...) 📚이 블로그는제가 공부하면서 기록해야 할 것들과, 영어 때문에 검색이 어려웠던 여러 사람들을 위해 코딩 질문과 답을 번역해서 돌리거나, 분석 가이드를 작성합니다. 또한 어떻게 공부를 시작해야 ..
· 대학원
1. 논문 두 편 세 편 가자! 이상 가자! 게재하기- 하나는 임상분야, 하나는 informatic 분야 목표 2. Multi-Omic 공부하기- Bulk RNA-seq 분석 파이프라인 구축 -> Nextflow로 - Single cell 데이터 활용법 학습하기 3. Open dataset 활용 하기 or Meta analysis 수행 및 논문 작성 4. NextFlow를 활용한 Shotgun 분석 파이프라인 구축 5. 연구실 데이터베이스 구축 - 웹플랫폼 구축이 최종 목표! 6. 자격증 - 리눅스마스터- SQLD- 정보처리기사 ---회사에서 날 볼때 논문 그 다음은 자격증이라는 말이 기억난다. 특히 연구가 아닌 행정직으로 취직을 생각한다면, 나를 증명할 길이 자격증 뿐이다.부지런하게 따 놓자.
작성: 2023-08-25 Metacoder란?- 공식 튜토리얼 : https://grunwaldlab.github.io/metacoder_documentation/workshop--05--plotting.html- 논문 : Foster, Z. S., Sharpton, T. J., & Grünwald, N. J. (2017). Metacoder: An R package for visualization and manipulation of community taxonomic diversity data. PLoS computational biology, 13(2), e1005404. https://doi.org/10.1371/journal.pcbi.1005404 - 인용수: 498(2023.08.25 기준)..
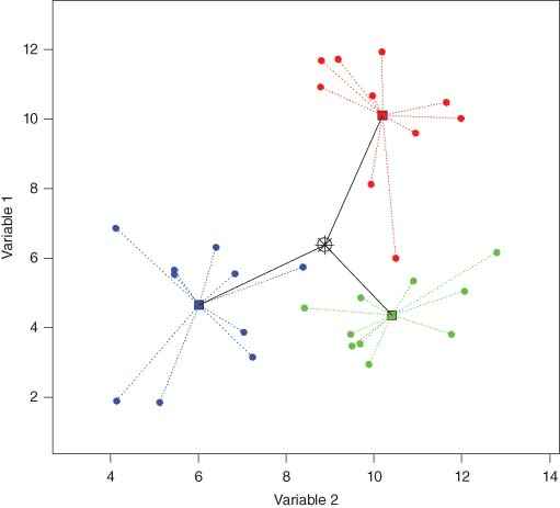
글 작성: 24.01.03. 내용추가: 24.01.02. 1. Network analysis | 마이크로바이옴 연구에서 네트워크 연구란?- microbiome은 복잡한 미생물 군집을 말한다. 여러 생물들의 상호작용은 전체 미생물의 구조를 안정적이며 견고하게 만든다.- 네트워크 plot은 미생물의 scale과 다양성을 모두 나타낼 수 있으며, 단편적인 관계보다 보편적인 시스템을 보여준다. | Network의 구성성분- node: 하나의 샘플이나 OTU/ASV를 뜻한다- edge: 각 단위 간의 관계를 말한다 | network plot에서 알 수 있는 정보들- node의 정보: 색, 모양, 크기, 라벨에 정보를 표시할 수 있다. - e.g. 색에는 그룹 데이터를, 크기는 relative abu..
· 대학원
이 프로젝트는 내가 들어오기 전에 교수님이 맡으셨던 프로젝트이다. 교수님이 바쁘신 나머지, 내가 추가 분석을 담당하게 되었다. 분석은 내가 대학원들 들어오고 나서부터 오늘까지 약 1년간 지속되었다. 사실 기초 분석은 모두 끝낸 상태라, 처음 공부하면서 이미 완성된 결과를 다시 한번 확인하고, 그 후에 새로운 분석들을 추가해서 살을 붙였다. 정말 지겹고 속이 울렁거릴 정도로 수정했던 것 같다. 분석도 분석이지만, 이미지 퀄리티부터, 색, 샘플 정렬, taxa정렬, 글씨체 등등 여러 세세한 부분이 더 많은 비율을 차지했던 것 같다. 기억을 더듬어 보자면 아래와 같다. 1. 샘플의 메타데이터를 관찰한다. ✨이 단계가 매우 중요하다. 사실 이 전에 실험 계획이 더더욱 중요하다.- 메타데이터에 오류가..
작성 2023.09.04수정 2023.09.26   🟩 Vegan- biplot이란 하나의 그림에 두 개의 데이터를 보여주는 plot이다. - Vegan 패키지는 환경데이터를 처리 및 분석에 사용된다. 마이크로바이옴 데이터와 환경데이터는 샘플이름이 열에, 환경 또는 미생물의 이름이 행에 위치(혹은 그 반대)하는 feature table을 분석에 이용하기 때문에, 많은 분석 방법을 공유한다.- 이 중에서 vegan의 envfit 함수를 이용한 biplot을 phyloseq object를 사용해 그려보자.- 위처럼 샘플을 point로 나타내고, 관련 메타데이터를 arrow로 그리거나, feature(ASV)를 arrow로 표시하는 경우가 있다.  🟩 Example data- QIIME2 tutorial ..
· NGS data
🟦 The Sequence Read Archive(SRA)란?NIH 주관 International Nucleotide Sequence Database Collaboration (INSDC)의 산하 저장소는 the European Bioinformatics Institute (EBI), and the DNA Database of Japan (DDBJ) 등이 있다. 이 중 SRA는 high-throughput sequencing 데이터의 저장소중 하나입니다.(https://www.ncbi.nlm.nih.gov/sra/docs/) SRA의 접근 번호 SRA에 업로드된 샘플에서 여러 가지 접근 번호가 있습니다. 이에 대한 포함 관계설명드리겠습니다.접근 번호설명SRP (Sequence Read Archive P..
· Programming
1. 네트워크 관리사 2급 - 공식 홈페이지: https://www.icqa.or.kr/cn/page/network- 협회: 한국정보통신자격협회 - 시험: 필기, 실기- 검정 기준: 네트워크 관련 업무 수행을 위한 일반적인 운용지식과 구축기술 NOS운영, Packet분석, Monitoring, 인터넷기술, Protocol 등 기초 이론과 실무능력 검정 - 국가 공인 인증 자격증(1급은 아님) 2. 네트워크 관리사 2급 필기시험 - 일정: 2023-11-05(일) - 장소: 대전 서구 계룡로 637 아이티스쿨 정보보호교육원 (성심당 근처다ㅎㅎ)- 시험시간: 09:20까지 입실, 09:30~10:20 시험(50분, 10분 뒤 퇴실 가능)- 결과 발표: 2023-11-07(화)- 지참: 신분등, 볼펜(메모용..
🆕 최신글
· 스크랩
https://www.linkedin.com/feed/update/urn:li:activity:7461365496454537216/ | 감염성 미생물 NGS 데이터를 자동 분석하는 LLM 기반 AI-Orchestrator 시스템의 아키텍처 | AI agent 가 분석 흐름을 결정하여, 자동으로 진행 => AI에 따라 workflow 가 동적이라는 장점이 있음 | 위 오케스트라의 결과로 얻을 수 있는 것은?- species identification- MLST/ST- serotype- antimicrobial resistance- SNP distance- epidemiology interpretation 위 논문에서 강조하는 것은 “facilities with non-bioinformatic ..
· 대학원
세미나 내용과 관련 내용 필기 정리본입니다. | 임상현장에서 AI (카카오헬스, 신수용 소장님)1. 의료 AI의 최신기술 보고서 - https://arise-ai.org/report - 어디 어디에 쓰일까?1. 환자 보험비 및 병원비 청구 2. 환자의 예약, followup3. 간호사 업무 인수인계, 업무 스케줄링 4. 환자 상태 요약 및 처방전 작성 5. EHR에 자동화 - 심박수나, 혈당, 식단까지 다양한 멀티모달 데이터 처리 6. 의학적 의사결정(진단, 필요한 수술 추천, 수술 결정 여부 등등) 2. Clinical AI 중 논문으로 나온 것 - Tian, J., Fard, P., Cagan, C. et al. An autonomous agentic workflow for clinical det..
· 대학원
일을 미루고 미루다가 마감 직전에 해버리면생각한 시간보다 약 3배가 더 걸리는 것 같다 왜?이전에 진행하건 기록을 다시 확인해야 함이를 최신 파이프라인으로 변환해야 함 그리고 이를 다시 세팅해야 함 .. 미리미리 하자
· 기타
생물정보학에서 살아남기 시리즈 생물정보학에서 살아남기 01: 소프트웨어 개발 원칙과 Agile, FAIR🙋‍♀️안녕하세요. 김해김 씨 99대손입니다.오늘은 생명정보학을 공부하는 분들, 특히 컴퓨터를 대학원에 와서 익히게 된 생명과학 전공자들에게 꼭 들려주고 싶은 이야기를 정리해 보았습bio-kcs.tistory.com 생물정보학에서 살아남기 02: 코드 리뷰와 구조화, 문서화이전 글에서 생명정보학을 시작하며 알아야 할 기본 원칙들(Agile, FAIR)에 대해 이야기했습니다. 이번에는 "실제 프로젝트를 어떻게 정리하고 관리해야 할까?"라는 주제로 작성해 보았습니다. 특bio-kcs.tistory.com Git과 Github 많이 들어보셨나요? 요즘 논문에서 재현성을 위해서 많이 추가하는 추세이..
· 스크랩
- "연구실책임자를 위한 안전관리 실무 2025 " 발췌 | 나는 관리자인가? 리더인가? 관리자와 리더는 방향성, 조직배열, 관계, 개인 자질, 결과측면에서 엄연히 다르다. - 관리의 목표는 단기적인 성과 창출, 지시와 명령을 통해 제어- 리더의 목표는 장기적으로 지속가능한 성과 창출, 자발적인 동기유발을 통해 연구활동 종사자의 성장과 지원 촉진 | 나는 바람직한 리더인가?리더십 대가의 학장인 서던캘리포니아의 Warren Bennis 교수에 따르면, 리더는 태어나는 것이 아니라 만들어지는 것이며, 이는 본인에 의해 만들어진다고 하였음. Richard L.Daft(1999) 가 주장하는 리더십은 다음과 같다.1) 무능력에 대한 무지상태, 2) 무능력에 대한 자각상태, 3) 능력의 자각상태 4) 자연..
· 스크랩
https://www.bioin.or.kr/board.do?num=331891&cmd=view&bid=report
· Article
- ref: https://muse.jhu.edu/pub/56/article/990234/pdf Project MUSE -- Verification required!Verification required! In order to better serve you and keep this site secure, please complete this challenge. If you are trying to perform text/data mining, please contact Customer Service for assistance.muse.jhu.edu Benjamin J. Callahan 박사님 최근 연구를 봤는데, 재미있는 연구를 하고 계셔서 소개합니다. 양피지(Parchment)가 동물의 가죽으로 만..
· 스크랩
생물정보학 분야에서 재미있고 의미있는 칼럼을 쓰시는 Ming Tommy Tang 박사님의 뉴스레터 입니다. 구글 번역본으로 정리하였습니다. 결론은 도구의 사용을 배우는 것은 점점 더 중요해지지 않고, 생물학을 깊게 배우는 것이 의미있다는 글입니다. Tommy Tang---안녕하세요, 생물정보학 애호가 여러분!안녕하세요, 토미입니다. 오늘은 생물정보학 분야의 인공지능에 대해 이야기해 보겠습니다.레딧/생물정보학 커뮤니티의 절반은 흥분하고 있고, 나머지 절반은 패닉 상태입니다.인기 게시글들은 새로운 도구나 논문에 대한 내용이 아닙니다. "내가 쓸모없는 존재인가요?" 와 같은 제목의 글들이 많습니다.실제로 무슨 일이 벌어지고 있는지 알려드리겠습니다.기대감을 드러내는 절반은 AI가 예전에는 며칠씩 걸리던 작업..
· Programming
프로젝트 하나를 처음부터 끝까지 git을 통해서 버전관리를 하고 있다. 이 때문에 이상한 파일은 과감하게 삭제하고 있다. raw 데이터를 확인할 수는 없지만, 분석 코드를 볼 수 있어서 훨씬 편하다. 또한 이제 노션으로 코드 관리를 하지 않게 될 것 같아서 더욱 기대가 된다. 근데 어제 집에서 read me 파일 하나를 건드렸더니, 연구실에서 git push가 되지 않았다. 여기서 원격과 로컬 개념이 나온다. 로컬은 실제 사용하는 장소 (내 컴퓨터 분석위치)를 말하고, 원격은 Git에 저장된 자료를 말한다. 그래서 git push -u origin main 할 때 에러가 났다.git push -u origin main = 내 local main 브런치를 origin(원격저장소=github)에 업..
작성: 2026.05.06수정 : 2026.05.19 🖐 Single cell 초보자 = 저입니다. 위 글은 single cell을 공부하기 위해 온라인에 업로드된 글 (주로 reddit)과 LLM모델을 사용해 추천받은 유튜브 영상 & 튜토리얼 & 논문을 정리하였습니다. [문서 형식]- 📜: 온라인 문서 - 📃: 논문&보고서- 🎥: 동영상 - 🛠: Tool- ⭐: 추천- Eng: 영어- Kor: 한국어 초보자 이 단계에서는 용어를 이해하고 10x와 seurat 기본 workflow 및 QC, normalization, clutering, marker annotation의 단계를 이해하는 것을 목적으로 할 수 있습니다. 📜 (Eng) Single Cell용어 정리: https://ww..
목적공개된 HMP 데이터를 분석하여 특정 종의 조성을 확인해 보고자 하였으며, 분석 방법은 "Selective targeting of skin pathobionts and inflammation with topically applied lactobacilli (2022, Cell report Medicine)"의 github를 참고하였음. - https://github.com/LebeerLab/skin_acne_study 데이터셋 1. HMP (from curatedMetagenomicData): Shotgun metagenome - 740 taxa 748 samples 2. 직접 재분석한 데이터 (From QIITA): V1V3, V3V5 - V1V3: 26,035 tax..
· 기타
작성: 2026.04.29 정의singleton(단일체)은 한 번만 관찰된 서열을 말한다 [1]. 보통 개별 샘플에서 한 번만 관찰된 단일체와 전체에서 한 번만 관찰된 global 단일체로 나누는 경우가 있다. 보통 singleton 제거는 전체 샘플에서 한 번만 나온 global singleton을 의미한다. 왜 마이크로바이옴 연구에서 singleton이 중요한가?singleton은 시퀀싱 오류일 가능성이 매우 높다. 시퀀싱 오류는 랜덤하고 우연하게 일어난다. 우연이 아니라면 적어도 두 번 이상 샘플이 관찰되었을 것이다[1]. Singleton 제거가 마이크로바이옴 연구에 어떤 영향을 주는가? 마이크로바이옴 데이터의 대표적인 특징은 구성성, 희소성이다. 특히 이 희소성의 경우 각 미생물 혹은..
· 스크랩
제목과 초록을 기반으로 했을 때, 80% 이상의 경우에서 LLM은 철회된 논문이 철회되지 않았다고 주장- GPT OSS 120B: 82%- Gemma 3 27B: 84%- DeepSeek R1 72B: 88% https://arxiv.org/abs/2604.16872
안녕하세요. 김해김씨 99대손입니다. 제가 오늘 소개해 드릴 취업을 위한 정보공유 보드 (구글 시트)입니다.해외 환경생물학자 채용 공고를 공유하는 ecoevojobs.net에서 영감을 얻었습니다. 1. 누구나 입력 가능하며2. 회사 및 연구실에서 고용 공고를 직접 등록하는 것도 가능합니다3. 생물정보학자를 고용하는 회사 정보도 수집하고 있습니다4. 채용 사이트의 퀵 링크를 지원하고 있습니다5. QnA 창도 있으니, 자유롭게 질문해 주세요 >> bioinfojobskr ---지금은 수동 업데이트 중이며, 추후 크롤링을 통해 매일 업데이트가 수행되면 정식으로 배포할 예정입니다.감사합니다.
· Linux
작성: 2026.04.23 수정: 2026.05.27안녕하세요. 김해 김씨 99대손입니다.오늘은 CLI 서버 사용의 편의성을 위해 Singularity 기반 컨테이너(container)를 구축한 후 공용으로 사용해 본 경험기를 공유하고자 합니다. 실제적으로는 사용 3일 차 후기가 되겠습니다. 1. 개요1) 환경 - 서버: CentOS7.9 (Linux CPU 서버)- 주 분석 분야: Microbiome (QIIME), Metagenome (MAGs기반) 2) 고민 사항 이전에도 서버 관리 전략에 대해서 고민한 적이 있다. 사람은 늘어나고 서버는 좁아지다 보니 분석 중에 종종 멈추는 일이 발생했다. 보통의 개발자라면 바로 컨테이너를 쓰면 되는 거 아냐? 하고 생각했지만, 나 같은 컴공 문외한은 ..
· 스크랩
- Frontiers는 연구자, 편집자 및 리뷰어들에게 출판의 전반과정을 포괄하는 AI 가이드라인을 발표- AI 협동 연구를 위한 BE WISE 원칙 발표 (https://www.frontiersin.org/ai-playbook/be-wise-framework) B — Be transparentE — Ensure accountabilityW — Work with the right toolsI — Inform yourselfS — Stay traceableE — Embed equity - 또한 연구자를 위한 재현성 있는 AI 사용을 위해 프롬프트 예시를 공개하고 있음 (https://www.frontiersin.org/ai-playbook/advanced-ai-for-researchers)# 1Act a..
· 스크랩
Kaggle에 올라와있는 데이터를 벤치마킹으로 사용해도 될까?-> 그 데이터마저 신뢰 있는 출처에서 생성되지 않은 것일 수 있음-> 이 세상에 완벽한 데이터란 존재하지 않음 - Dozens of AI disease-prediction models were trained on dubious data, https://www.nature.com/articles/d41586-026-00697-4 (2026.04.15)- Gibson, A. D., White, N. M., Collins, G. S. & Barnett, A. G. Preprint at. medRxiv https://doi.org/10.64898/2026.02.24.26347028 (2026).
· 스크랩
https://www.bioin.or.kr/board.do?num=333432&cmd=view&bid=issue 포켓몬이 과학계와 연구 윤리에 미친 영향포켓몬이 과학계와 연구 윤리에 미친 영향BioINwatch(BioIN+Issue+Watch): 26-26 ◇포켓몬 30주년을 기념, Nature는 포켓몬이 과학계와 연구 윤리에 긍정적인 영향을 끼쳤다고 설명. 포켓몬이 실제 생물 분류www.bioin.or.kr ㅋㅋㅋㅋ
· Database
작성: 26/04/14/화~⚠️ 주의⚠️작성자는 컴퓨터 전공이 아니며, 전문적인 글이 아닙니다. 임상 유전체 실험을 위한 데이터베이스를 만들면서 겪은 시행착오를 작성한 글입니다. 참고만 해주세요 🙃 1. 현재 상황 업데이트1) 현재 사용하고 있는 Excel 파일이전 글에서 이야기했듯이, 지금 가장 간단한 구성으로 dashboard 제작을 완료하였습니다. 기존 데이터모델링을 ERD로 표현하면 다음과 같습니다. VisitInfo 랑 SampleInfo 중복 정보를 많이 가지고 있지만, 이는 사용자의 편의를 위해 의도적으로 추가한 결과입니다. 또한 Sampling 날짜에 따라 dashboard를 구성하기 위해 Sampling_month, sampling_weekn 같은 지저분한 중복 정보 열을 ..
· R
1 에러 메시지object ‘solve’ is not exported by 'namespace:CVXR' 2 원인ANCOMBC와 CVXR 간 버전 불일치최신 CVXR에서는 solve export 구조 변경ANCOMBC는 특정 구버전 CVXR을 요구3 해결 방법remove.packages("CVXR")remotes::install_version("CVXR", version = "1.0-13")BiocManager::install("ANCOMBC", force = TRUE) 4 확인 방법 library(CVXR)library(ANCOMBC)
· 기타
Pan-genomePan from the Greek word, meaning whole or everythingPangenome = Core + accessory geneCore genome = genes shared by all strains within a speciesAccessory genome = genes present only in a subset of strains, contributing to strain-specific traits Open pan-genome vs Closed pan-genomeOpen pangenome:New genes continue to appear as additional genomes are sequenced,indicating high strain-leve..
김해김씨99대손
Bioinfo_newbie